网站首页  词典首页


请输入您要查询的字词:

 

字词 奥喹多司
类别 中英文字词句释义及详细解析
释义 奥喹多司

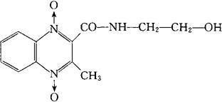
C12H13N3O4=263.25

CAS-23696-28-8

N-(2-羟乙基)-3-甲基-2-喹喔啉甲酰胺1,4-二氧化物。

N-(2-Hydroxyethyl)-3-methyl-2-quinoxalinecarboxamide 1,4-dioxide.

抗感染药,兽用抗菌药和生长促进药。

奥拉喹多,喹多克斯。

Olaquindox,Bayo Nox,Celbar,Fedan,Bay Va 9391.

INN,BAN,USAN,MI.

随便看

 

离鸟网收录3541549条中英文词条,其功能与新华字典、现代汉语词典、牛津高阶英汉词典等各类中英文词典类似,基本涵盖了全部常用中英文字词句的读音、释义及用法,是语言学习和写作的有利工具。

 

Copyright © 2004-2024 vtrois.com All Rights Reserved
更新时间:2026/4/6 15:11:22