网站首页  词典首页


请输入您要查询的字词:

 

字词 奥布普利
类别 中英文字词句释义及详细解析
释义 奥布普利

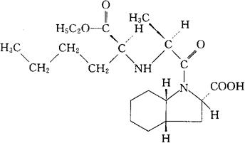
C20H34N2O5=382.50

CAS-108391-88-4

(2S,3aS,7aS)-l-[(S)-N-[(S)-l-羧苯基]丙氨酰]六氢-2-二氢吲哚羧酸1-乙酯。

(2S,3aS,7aS)-l-[(S)-N-[(S)-l-Carboxyphenyl]alanyl]hexahydro-2-indolinecarboxylic acid,l-ethylester.

抗高血压药。

Orbutopril.

INN,USAN.

随便看

 

离鸟网收录3541549条中英文词条,其功能与新华字典、现代汉语词典、牛津高阶英汉词典等各类中英文词典类似,基本涵盖了全部常用中英文字词句的读音、释义及用法,是语言学习和写作的有利工具。

 

Copyright © 2004-2024 vtrois.com All Rights Reserved
更新时间:2026/5/31 23:54:11