网站首页  词典首页


请输入您要查询的字词:

 

字词 奥昔哌汀
类别 中英文字词句释义及详细解析
释义 奥昔哌汀

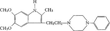
C23H29N3O2=379.50

CAS-153-87-7

5,6-二甲氧-2-甲基-3-[2-(4-苯基-1-哌嗪基)乙基]吲哚。

5,6-Dimethoxy-2-methyl-3-[2-(4-phenyl-l-piperazinyl)ethyl]indole.

抗抑郁药。

吲哚哌丁。

Oxypertine,Forit.

INN,BAN,DCF,NFN,USAN,MI.

随便看

 

离鸟网收录3541549条中英文词条,其功能与新华字典、现代汉语词典、牛津高阶英汉词典等各类中英文词典类似,基本涵盖了全部常用中英文字词句的读音、释义及用法,是语言学习和写作的有利工具。

 

Copyright © 2004-2024 vtrois.com All Rights Reserved
更新时间:2026/4/6 15:37:07