网站首页  词典首页


请输入您要查询的字词:

 

字词 奥昔非康A
类别 中英文字词句释义及详细解析
释义 奥昔非康A

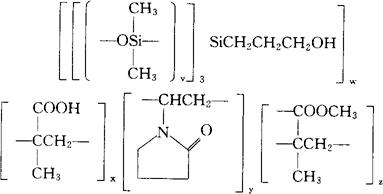
[[(C2HsOSi)v3C3H7CSi]w(C4H6O2)x(C6H

NO)v(C5H8O2)2

硅氧烷,二甲基,3-羟丙基-末端与2-甲基-2-丙烯酸,1-乙烯基-2-吡咯烷酮和甲基2-甲基-2-丙烯酸盐的共聚物。

Siloxane,dimethyl,3-hydroxypropyl-terminated.polymer with 2-methyl-2-propenoic acid,l-ethenyl2-pyrrolidinone and methyl 2-methyl-2-propenoate.

3-羟丙基末端二甲基硅氧烷与异丁烯酸,1-烯乙基-2-吡咯烷酮和甲异丁烯酸甲酯的共聚物。

3-Hydroxypropyl-terminated dimethyl siloxane.polymer with methacrylic acid,l-vinyl-2-pyrrolidjnone and methyl methacrylate.

隐形眼镜材料(亲水性)。

Oxyfilcon A,AL-T150.

USAN.

随便看

 

离鸟网收录3541549条中英文词条,其功能与新华字典、现代汉语词典、牛津高阶英汉词典等各类中英文词典类似,基本涵盖了全部常用中英文字词句的读音、释义及用法,是语言学习和写作的有利工具。

 

Copyright © 2004-2024 vtrois.com All Rights Reserved
更新时间:2026/4/7 12:23:25