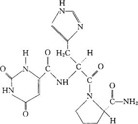
奥替瑞林
C16H19N7O5=389.37 CAS-62305-86-6 N-[(1,2,3,6-四氢-2,6-二氧代-4-嘧啶基)羰基]-L组胺酰-L-脯氨酰胺。 N-[(1,2,3,6-Tetrahydro-2,6-dioxo-4-pyrimidinyl)carbonyl]-L-histidyl-L-prolinamide. 乳清酰-L-组胺酰-L-脯氨酰胺。 Orotyl-L-histidyl-L-prolinamide. 自垂体前叶分泌释放激素药(促甲状腺素释放药)。 Orotirelin,CG 3509. INN,USAN. 
|