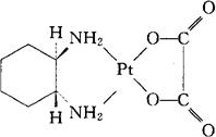
奥沙利铂
C8H14N2O4Pt=397.29 CAS-61825-94-3 [(1R.2R)-1.2-环己烷二胺-N,N′]-[草酸基(2-)-O,O′]-铂。 [(1R,2R)-1,2-Cyclohexanediamine-N,N′]-[oxalato(2-)-O,O′]platinum. (1,2-环己烷二胺-N,N′)[乙烷二酸基(2-)-O,O′]铂。 (1,2-Cyclohexanediamine-N,N′)[ethanedioato(2-)-O,O′]platinum. 抗肿瘤药。 Oxaliplatin. INN,USAN.  |