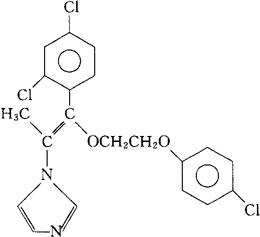
奥莫康唑
C20H17Cl3N2O2=423.73 CAS-74512-12-2 (Z)-1-[2,4-二氯-β-[2-(对-氯苯氧)乙氧]-α-甲基苯乙烯基]咪唑。 (Z)-l-[2,4-Dichloro-β-[2-(p-chlorophenoxy)ethoxy]-α-methylstyryl]imidazole. 1-[2-[2-(4-氯苯氧)乙氧]-2-(2,4-二氯苯基)-1-甲基乙烯基]-1H-咪唑。 1-[2-[2-(4-Chlorophenoxy)ethoxy]-2-(2,4-dichlorophenyl)-1-methylethenyl]-1H-imidazole. 抗真菌药。 俄莫拉唑。 Omoconazoel. INN,USAN,MI.  |