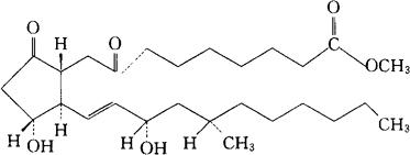
奥诺前列素
C23H38O6=410.55 CAS-70667-26-4 (-)-(1R,2R,3R)-3-羟-2-[(E)-(3S,5S)-3-羟-5-甲基-1-壬烯基]-ε,5-二氧代环戊烷庚酸甲酯。 Methyl(-)-(1R,2R,3R)-3-hydroxy-2-[(E)-(3S,5S)-3-hydroxy-5-methyl-l-nonenyl]-ε,5-dioxocyclopentaneheptanoate. 11,15-二氢-17,20-二甲基-6,9-二氧代前列腺-1,3-烯-1-酸甲酯。 11,15-Dihydro-17,20-dimethyl-6,9-dioxoprost-1,3-en-l-oic acid methyl ester. 前列腺素类药。 用于治疗胃溃疡。 奥洛前列素。 Ornoprostil,Alloca,Ronoprost. INN,USAN,MI.  |