网站首页  词典首页


请输入您要查询的字词:

 

字词 奥谷胱甘肽
类别 中英文字词句释义及详细解析
释义 奥谷胱甘肽

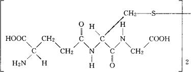
C22H32N6O12S2=612.63

CAS-27025--41--8

N,N′-[二硫代双[(R)-1-[(羧甲基)氨基甲酰]基亚乙]]-二-L-谷氨酰胺。

N,N′-[Dithiobis[(R)-1-[(carboxymethyl)carbamoyl]ethylene]]-di-L-glutamine.

解毒药。

Oxiglutatione.

INN,USAN.

随便看

 

离鸟网收录3541549条中英文词条,其功能与新华字典、现代汉语词典、牛津高阶英汉词典等各类中英文词典类似,基本涵盖了全部常用中英文字词句的读音、释义及用法,是语言学习和写作的有利工具。

 

Copyright © 2004-2024 vtrois.com All Rights Reserved
更新时间:2026/5/31 20:21:41