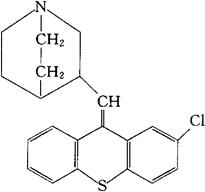
奴氯替珍
C21H20ClNS=353.91 CAS-36471-39-3 3-[(2-氯噻吨-9-亚基)甲基]奎宁环。 3-[(2-Chlorothioxanthen-9-ylidene)methyl]quinuclidine. 3-[(2-氯-9H-噻吨-9亚基)甲基]-1-氮杂双环[2.2.2]辛烷。 3-[(2-Chloro-9H-thioxanthen-9-ylidene)methyl]-1-azabicyclo[2.2.2]octane. 安定药。 纽克克星,奴克克星。 Nuclotixene, INN,USAN. 
|