网站首页  词典首页


请输入您要查询的字词:

 

字词 奴芬克索
类别 中英文字词句释义及详细解析
释义 奴芬克索

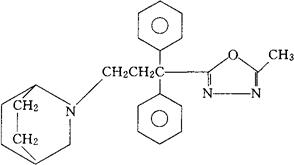
C25H29N3O=387.52

CAS-57726-65-5

2-[3-(5-甲基-1,3,4-氧杂二唑-2-基)-3,3-二苯丙基-2-氮杂双环[2.2.2]辛烷。

2-[3-(5-Methyl-1,3,4-oxadiazol-2-yl)-3,3-diphenylpropyl-2-azabicyclo[2.2.2]octane.

止泻药。

纽芬若索。

Nufenoxole,SC-271 66,Octanucline.

INN,BAN,USAN.

随便看

 

离鸟网收录3541549条中英文词条,其功能与新华字典、现代汉语词典、牛津高阶英汉词典等各类中英文词典类似,基本涵盖了全部常用中英文字词句的读音、释义及用法,是语言学习和写作的有利工具。

 

Copyright © 2004-2024 vtrois.com All Rights Reserved
更新时间:2026/5/25 21:57:04