网站首页  词典首页


请输入您要查询的字词:

 

字词 妥伐替丁
类别 中英文字词句释义及详细解析
释义 妥伐替丁

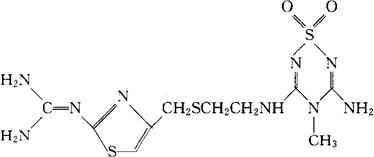
C10H17N9O2S3=391.48

CAS-91257-14-6

[4-[[[2-[(5-氨基-4-甲基-4H-1,24,6-噻三嗪-3-基)氨基]乙基]硫代]甲基]2-噻唑基]胍S″,S″-二氧化物。

[4-[[[2[(5-Amino-4-methyl-4H-1,24,6-thiatriazin-3-yl)amino]ethyl]thio]methyl]2-thiazolyl]guanidine S″,S″-dioxide.

组胺H2-受体阻滞药,抗溃疡药。

救法替定。

Tuvatidine,HUK 978.

INN,USAN.

随便看

 

离鸟网收录3541549条中英文词条,其功能与新华字典、现代汉语词典、牛津高阶英汉词典等各类中英文词典类似,基本涵盖了全部常用中英文字词句的读音、释义及用法,是语言学习和写作的有利工具。

 

Copyright © 2004-2024 vtrois.com All Rights Reserved
更新时间:2026/5/25 19:27:17