网站首页  词典首页


请输入您要查询的字词:

 

字词 妥布霉素
类别 中英文字词句释义及详细解析
释义 妥布霉素

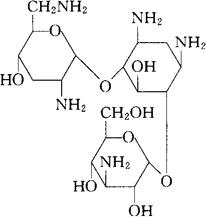
C18H37N5O9=467.52

CAS-32986-56-4

O-3-氨基-3-脱氧-α-D-吡喃葡萄糖基-(1→4)-O-[2,6-二氨基-2,3,6-三脱氧-α-D-核糖-吡喃己基-(1→6)-2-脱氧-L-链霉胺。

O-3-Amino-3-deoxy-α-D-glucopyranosyl-(1→4)-O[2,6-diamino-2,3,6-trideoxy-α-D-ribo-hexopyranosyl-(1→6)-2-deoxy-L-streptamine.

4-[2,6-二氨基-2,3,6-三去氧-α-D-吡喃葡萄糖基]-6-[3-氨基-3-去氧-α-D-吡喃葡萄糖基]-2-去氧链霉胺。

4-[2,6-Diamino-2,3,6-trideoxy-α-D-glycopyranosyl]-6-[3-amino-3-deoxy-α-D-glycopyranosyl]-2-deoxystreptamine.

抗生素类药,抗菌药。

妥布拉霉素。

Tobramycin,Tobramycetin Obracin,Mebramycin Factor 6,Distobram,Gerncbcin,Obramycin,Tobradistin,Tobrex.

INN,BAN,BP,DCIT,JAN,USAN,USP,MI.

随便看

 

离鸟网收录3541549条中英文词条,其功能与新华字典、现代汉语词典、牛津高阶英汉词典等各类中英文词典类似,基本涵盖了全部常用中英文字词句的读音、释义及用法,是语言学习和写作的有利工具。

 

Copyright © 2004-2024 vtrois.com All Rights Reserved
更新时间:2026/4/6 19:22:16