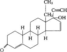
孕二烯酮
C21H26O2=310.44 CAS-60282-87-3 (17α)-13-乙基-17-羟基-18,19-二去甲-孕甾-4,15-二烯-20-炔-3-酮。 (17α)-13-Ethyl-17-hydroxy-18,19-dinor-pregna-4,15-dien-20-yn-3-one. 13-乙基-17羟基-18,19-二去甲-17α-孕甾-4,15-二烯-20-炔-3-酮。 13-Ethyl-17-hydroxy-18,19-dinor-17α-pregna-4,15-dien-20-yn-3-one. 孕激素类药。 Gestodene,SH B 331. INN,BAN,USAN.  |