网站首页  词典首页


请输入您要查询的字词:

 

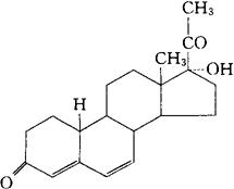
字词 孕他烯醇
类别 中英文字词句释义及详细解析
释义 孕他烯醇

C20H26O3=314.42

CAS-58769-17-8

17-羟-19-去甲孕甾-4,6-二烯-3,2-二酮。

17-Hydroxy-19-norpregna-4,6-diene-3,20-dione.

孕激素药。

Gestadienol.

INN,USAN.

随便看

 

离鸟网收录3541549条中英文词条,其功能与新华字典、现代汉语词典、牛津高阶英汉词典等各类中英文词典类似,基本涵盖了全部常用中英文字词句的读音、释义及用法,是语言学习和写作的有利工具。

 

Copyright © 2004-2024 vtrois.com All Rights Reserved
更新时间:2026/5/29 22:33:15