网站首页  词典首页


请输入您要查询的字词:

 

字词 孕氯酮
类别 中英文字词句释义及详细解析
释义 孕氯酮

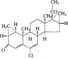
C23H27ClO2=370.92

CAS-19291-69-1

(1α,2α,8α,9β,10α,13α,14β,16α,17α)-17-乙酰基-6-氯-1,1a,2,8,9,10,11,12,13,14,15,16,16a,17-十四氢-10,13-二甲基-3H-二环丙基[1,2∶16,17]环戊二烯并[a]菲-3-酮。

(1α,2α,8α,9β,10α,13α,14β,16α,17α)-17-Acetyl-6-chloro-1,1a,2,8,9,10,11,12,13,14,15,16,16a,17-tetradecahydro-10,13-dimethyl-3H-dicyclopro-pa[1,2∶16,17]cyclopenta[a]phenanthren-3-one.

17β-乙酰基-6-氯-1β,1a,2β,8β,9α,10,11,12,13,14α,15,16β,-16a,17-十四氢-10β,13β-二甲基-3H-二环丙基[1,2∶16,17]环戊二烯并[a]-菲-3-酮。

17β-Acetyl-6-chloro-1β,1a,2β,8β,9α,10,11,12,13,14α,15,16β,16a,17-tetradecahydro-10β,13β-dimethyl-3H-dicyclopropa[1,2∶16,17]cyclopenta[a]-phenanthren-3-one.

6-氯-1α,2α∶16α,17-双亚甲基-4,6-孕甾二烯-3,20-二酮。

6-Chloro-1α,2α:16α,17-bismethylene-4,6-pregnadiene-3,20-dione.

孕激素类药。

Gestaclone,SH 1040.

INN,USAN.

随便看

 

离鸟网收录3541549条中英文词条,其功能与新华字典、现代汉语词典、牛津高阶英汉词典等各类中英文词典类似,基本涵盖了全部常用中英文字词句的读音、释义及用法,是语言学习和写作的有利工具。

 

Copyright © 2004-2024 vtrois.com All Rights Reserved
更新时间:2026/4/6 18:07:15