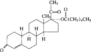
孕诺酮己酸酯
C26H38O4=414.58 CAS-1253-28-7 17-[(1-氧己基)氧]-19-去孕甾-4-烯-3,20-二酮。 19-Norpregn-4-ene-3,20-dione,17-[(1-oxohexy)oxy]-. 17-羟基-19-去孕甾-4-烯-3,20-二酮己酸酯。 17-Hydroxy-19-norpregn-4-ene-3-20-dionehexanoate. 孕激素类药。 己酸孕诺酮。 Gestonorone Caproate,SH582,NSC-84054. 1NN,BAN(Gestronlo),USAN.  |