安乃近[典]
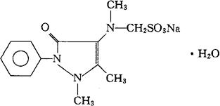
C13H16N3NaO4·H2O=351.35 CAS-5907-38-0 CAS-68-89-3(anhydrous) [(2,3-二氢-1,5-二甲基-3-氧-2-苯基-1H-吡唑-4-基)甲氨基]甲烷磺酸钠盐一水化合物。 Methanesulfonic acid,[(2,3-dihydro-1,5-dimethyl3-oxo-2-phenyl-1H-pyrazol-4-y1)methylamino]-,sodium salt,monohydrate. (安替比林基甲氨基)甲烷磺酸钠一水化合物。 Sodium(antipyrinylmethylamino)methanesulfonate monohydrate. 解热镇痛药。用于发热、头痛、急性关节炎、风湿性神经痛、牙痛等。 罗瓦而精,诺瓦精,诺瓦经。 Metamizole Sodium,Analgin,Diprofarn,Dipyrone,Metampyrone,Noramidopyrine Methanosulfonate Sodium,Novaldin,Novalgin,Sulpyrine,NSC73205. 安乃近片(诺瓦精片),安乃近注射液(诺瓦精注射液)。 INN,BAN,DCF,GDP,JP,USAN,USSRP,MI.  |