网站首页  词典首页


请输入您要查询的字词:

 

字词 安布替星
类别 中英文字词句释义及详细解析
释义 安布替星

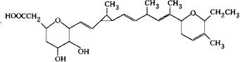
C28H42O6=474.64

CAS-58857-02-6

6-[2-[2-[5-(6-乙基-3,6-二氢-5-甲基-2H-吡喃-2-基)-3-甲基-1,4-己二烯基]-3-甲基环丙基]烯乙基]-四氢-4,5-二羟基-2H-吡喃-2-醋酸。

6-[2-[2-[5-(6-Ethyl-3,6-dihydro-5-methyl-2Hpyran-2-yl)-3-methyl-1,4-hexadienyl]-3-methylcyclopropyl]vinyl]-tetrahydro-4,5-dihydroxy-2Hpyran-2-acetic acid.

抗真菌药,用于霉菌病。

安布鲁星。

Ambruticin,W7783,SMP-78 Acid S

INN,USAN.

随便看

 

离鸟网收录3541549条中英文词条,其功能与新华字典、现代汉语词典、牛津高阶英汉词典等各类中英文词典类似,基本涵盖了全部常用中英文字词句的读音、释义及用法,是语言学习和写作的有利工具。

 

Copyright © 2004-2024 vtrois.com All Rights Reserved
更新时间:2026/5/25 8:10:04