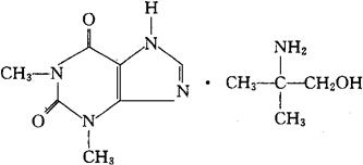
安布茶碱
C7H8N4O2·C4H11NO=269.30 CAS-5634-34-4 3,7-二氢-1,3-二甲基1H-嘌呤-2,6-二酮与2-氨基-2-甲基-1-丙醇(1∶1)的复合物。 1H-purine-2,6-dione,3,7-dihydro-1,3-dimethyl-,compd.wtth 2-amino-2-methyl-1-propanol(1∶1). 2-氨基-2-甲基-1丙醇与茶碱的复合物(1∶1)。 Theophylline compound with 2-amino--2-methyl-1-propanol(1∶1). 利尿药。 Ambuphylline,Bufylline. BAN,USAN.  |