网站首页  词典首页


请输入您要查询的字词:

 

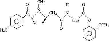
字词 安托愈创酯
类别 中英文字词句释义及详细解析
释义 安托愈创酯

C24H24N2O5=420.46

CAS-87344-06-7

N-[(1-甲基-5-对-甲苯酰吡咯-2-基)乙酰]甘氨酸邻-甲氧基苯酯。

N-[(l-Methyl-5-p-toluoylpyrrol-2-yl)acetyl]glycine o-methoxyphenyl ester.

Amtolmetin Guacil.

INN,USAN.

随便看

 

离鸟网收录3541549条中英文词条,其功能与新华字典、现代汉语词典、牛津高阶英汉词典等各类中英文词典类似,基本涵盖了全部常用中英文字词句的读音、释义及用法,是语言学习和写作的有利工具。

 

Copyright © 2004-2024 vtrois.com All Rights Reserved
更新时间:2026/4/5 17:39:52