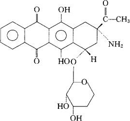
安柔比星
C25H25NO9=483.47 CAS-110267-81-7 (±)-(7S,9S)-9-乙酰-9-氨基-7-[(2-脱氧-β-D-赤-吡喃戊糖基)氧]-7,8,9,10-四氢-6,11-二羟基-5,12-并四苯二酮。 (±)-(7S,9S)-9-Acetyl-9-amino-7-[(2-deoxy-β-Derythro-pentopyranosyl)oxy]-7,8,9,10-tetrahydro6,11-dihydroxy-5,12-naphthacenedione. 抗生素类抗肿瘤药。 Amrubicin. INN,USAN.  |