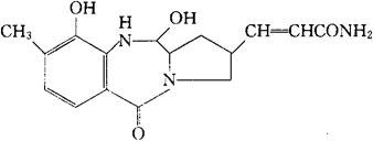
安特拉霉素
C16H17N3O4=315.33 CAS-4803-27-4 (E)-5,10,11,11α-四氢-9,-11-二羟基-8-甲基-5-氧-1H-吡咯并[2,1-c][1,4]苯并二氮-2-丙烯酰胺。 (E)-5,10,11,11α-Tetrahydro-9,11-dihydroxy-8-methyl-5-oxo-1H-pyrrolo[2,1-c][1,4]-benzodiazepine-2-acrylamide. 抗肿瘤药。 安曲霉素,安拉霉素。 Anthramycin(USAN). INN,NFN,USAN,MI.  |