网站首页  词典首页


请输入您要查询的字词:

 

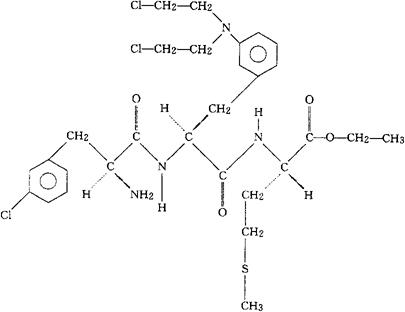
字词 安莫司汀
类别 中英文字词句释义及详细解析
释义 安莫司汀

C29H39Cl2FN4O4S=629.62

CAS-85754-59-2

N-[3-[间-[双(2-氯乙基)氨基]苯基]-N-[3-(对-氟苯基)-L-丙氨酰]-L-丙氨酰]-L-蛋氨酸,乙酯。

N-[3-[m-[bis(2-Chloroethyl)amino]phenyl]-N-[3-(p-fluorophenyl)-L-alanyl]-L-alanyl]-L-methionine,ethyl ester.

抗肿瘤药。

氨巴莫司汀,氨莫司汀。

Ambamustine.

INN,USAN.

随便看

 

离鸟网收录3541549条中英文词条,其功能与新华字典、现代汉语词典、牛津高阶英汉词典等各类中英文词典类似,基本涵盖了全部常用中英文字词句的读音、释义及用法,是语言学习和写作的有利工具。

 

Copyright © 2004-2024 vtrois.com All Rights Reserved
更新时间:2026/4/6 18:46:49