网站首页  词典首页


请输入您要查询的字词:

 

字词 安西缩松
类别 中英文字词句释义及详细解析
释义 安西缩松

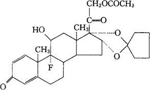
C28H35FO7=502.58

CAS-51022-69-6

9-氟-11β,16α,17,21-四羟基孕甾-1,4-二烯-3,20-二酮与戊酮结合的16,17-乙缩醛环,21-醋酸酯。

9-Fluoro-11β,16α,17,21-tetrahydroxypregna-1,4-diene-3,20-dione cyclic 16,17-acetal with cyclopentanone,21-acetate.

皮质激素类药。

安西奈德。

Amcinonide Cyclocort.

INN,BAN,DCF,BAN,USAN,USP,MI.

随便看

 

离鸟网收录3541549条中英文词条,其功能与新华字典、现代汉语词典、牛津高阶英汉词典等各类中英文词典类似,基本涵盖了全部常用中英文字词句的读音、释义及用法,是语言学习和写作的有利工具。

 

Copyright © 2004-2024 vtrois.com All Rights Reserved
更新时间:2026/4/8 14:07:03