安西非特
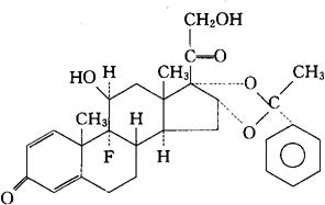
C29H33FO6=496.57 CAS-7332-27-6 9-氟-11,12-二羟基-16,17-[(1-苯乙烯基)双(氧)]-孕甾-1,4-二烯-3,20二酮,[11β,16α(R)]-。 9-Fluoro-11,21-dihydroxy-16,-17-[(1-phenylethylidene)bis(oxy)],pregna-1,4-diene-3,20-dione,[11β,16α(R)]-. (R)-9-氟-11β,16α,17,21-四羟基孕甾-1,4-二烯-3,20-二酮与苯乙酮结合成16,17-环乙缩醛。 (R)-9-Fluoro-11β,16α,17,21-tetrahydroxypregna1,4-diene-3,20-dione cyclic 16,17-acetal with acetophenone. 肾上腺皮质激素类药。 Amcinafide,SQ15,112. INN,USAN.  |