网站首页  词典首页


请输入您要查询的字词:

 

字词 安那度尔
类别 中英文字词句释义及详细解析
释义 安那度尔

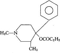
C16H23NO2=261.35

CAS-77-20-3

1,3-二甲基-4-苯基-4-哌啶醇丙酸酯。

1,3-Dimethyl-4-phenyl-4-piperidinol propionate(ester).

镇痛药。用于各种原因引起的疼痛。

甲替定,安侬痛。

Alphaprodine,Anadol,Prisidene,Prisilidene,α-Prodine.

安那度尔注射液。

INN,BAN,DCF,DCIT,NFN,USAN,USP,MI.

随便看

 

离鸟网收录3541549条中英文词条,其功能与新华字典、现代汉语词典、牛津高阶英汉词典等各类中英文词典类似,基本涵盖了全部常用中英文字词句的读音、释义及用法,是语言学习和写作的有利工具。

 

Copyright © 2004-2024 vtrois.com All Rights Reserved
更新时间:2026/5/26 23:13:01