实数运算的两个规律
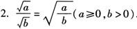
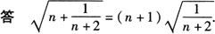
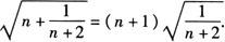
1. (a≥0,b≥0).  注意 1.公式的逆变形 (a≥0,b≥0).  2.公式中的a、b可以是单项式还可以是多项式,但要保证被开方式大于等于零. 例1 一个实数与它的相反数的倒数的和是零,这个实数是( ). A.0 B.1 C.-1 D.±1 答 D. [解析] 0没有倒数. 例2 绝对值小于3的所有实数的积为( ). A.6 B.12 C.0 D.-6 答 C. [解析] 0的绝对值小于3; 0乘以任何数都得0. 例3 负数a减去它的相反数差是( ) A.2a B.0 C.-2a D.a-1/a  [解析] 有理数范围内的运算法则及公式在实数范围内仍适用.  请你将猜想到的规律用含正整数n的代数式表示出来:__.  [解析] 每个等式左边被开方数中第一个加数为连续的自然数,第二个加数是比第一个加数大2的倒数,每个等式右边被开方数恰好为左边被开方数中的第二个加数,前面的系数比其被开方数中的第一个加数大1,所以猜想规律为  |