网站首页  词典首页


请输入您要查询的字词:

 

字词 实验法
类别 中英文字词句释义及详细解析
释义 实验法

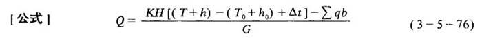
[使用仪器]氧弹式热量计

[测定方法]略(参照有关仪器使用说明书)。

式中 Q——发热量(cal/g),换算同式3-5-74

K——热量计的水当量

H——用贝克曼温度计操作时温度计上每1度相当于实际温度的度数

T——主要阶段的最终温度(℃)

T0——主要阶段的最初温度(℃)

h——在T时对温度计刻度的校正

h0——在T0时对温度计刻度的校正

G——分析试样的重量(g)

∑qb——点火丝发生的总热量(cal)

△t——热量计与大气温度的热交换校正数

△T0——最初阶段内每半分钟温度的平均变化

△T——最终阶段内每半分钟温度的平均变化

m——主要阶段中温度快速升高后(每半分钟大于0.3℃)的半分钟间隔数目;第一间隔,不论其升高多少,属于快速上升范围

n——主要阶段温度缓慢上升的半分钟间隔数目(每半分钟为0.3℃以下)

随便看

 

离鸟网收录3541549条中英文词条,其功能与新华字典、现代汉语词典、牛津高阶英汉词典等各类中英文词典类似,基本涵盖了全部常用中英文字词句的读音、释义及用法,是语言学习和写作的有利工具。

 

Copyright © 2004-2024 vtrois.com All Rights Reserved
更新时间:2026/4/6 19:49:55