密度的应用
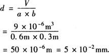
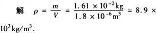
1.测质量 近年来科学家发现宇宙的中子星密度可达1×1014t/m3,一个体积为33.5cm3(大小似一只乒乓球)的中子星的质量是( ). 解 中子星密度 ρ=1×1014t/m3. 1×1011kg/cm3. 根据 ρ=m/V. m=ρV =1×1011kg/cm3×33.5cm3 =3.35×1012kg. 2.求体积 一块长60cm、宽30cm的铝板,用天平称得其质量为24.3g.密度ρ铝=2.7×103kg/m3.问该铝板的厚度为多少?  故铝板的厚度  3.鉴别物质 物质的密度是一个定值,不同物质密度一般不同,利用ρ=m/V求出某物质的密度后,通过查密度表比较,便能初步确定该物质是什么. 有一枚第一届亚运会纪念币,它的质量为16.1g,体积为1.8cm3请判断这枚纪念币是不是金的.  根据密度表可能查得这种纪念币的成分是铜,不是金. 4.空心体、实心体的判定 一个体积是40cm3的铁球,质量是158g. 这个铁球是空心还是实心的? 解 ❶ 密度比较法:  ❷ 质量比较法: m实=ρ铁V球=7.9克/厘米3×40厘米3=316克. ∵m球<m实,∴球是空心的. ❸ 体积比较法  |