网站首页  词典首页


请输入您要查询的字词:

 

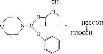
字词 富马酸利诺格列
类别 中英文字词句释义及详细解析
释义 富马酸利诺格列

C16H22N4O·C4H4O4=402.45

CAS-78782-47-5

N-(1-甲基-2-吡咯烷亚基)-N′-苯基-4-吗啉甲脒富马酸盐(1∶1)。

N-( 1-Methyl-2-pyrrolidinylidene)-N′-phenyl-4-morpholine-carboxamidine fumarate(1∶1).

抗糖尿病药。

富马酸利诺吗啉。

Linogliride Fumarate,MCN-3935.

USAN.

随便看

 

离鸟网收录3541549条中英文词条,其功能与新华字典、现代汉语词典、牛津高阶英汉词典等各类中英文词典类似,基本涵盖了全部常用中英文字词句的读音、释义及用法,是语言学习和写作的有利工具。

 

Copyright © 2004-2024 vtrois.com All Rights Reserved
更新时间:2026/5/27 23:32:10