富马酸哌丙吡胺
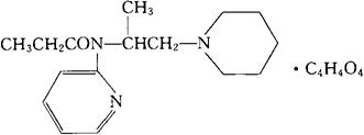
C16H25N3O·C4H4O4=391.47 CAS-13717-04-9 N-(1-甲基-2-哌啶乙基)-N-2-吡啶基丙酰胺基富马酸盐(1∶1)。 N-(1-Methyl-2-piperidinoethyl)-N-2-pyridylpropionamide fumarate(1∶1). 镇痛药。用于神经痛、牙痛、心绞痛、胃肠痛,亦用于烧伤、癌症及手术后疼痛。 富马酸丙吡兰。 Propiram Fumarate,Dirame,Algerit,BAY 4503. 富马酸哌丙吡胺片。 INN & BAN(Propiram),USAN.  |