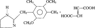
富马酸多马唑啉
C14H20N2O2·C4H4O4=364.40 CAS-35100-41-5 CAS-6043-01-2(dimazoline) 2-[(3,6-二甲氧-2,4-二甲苯基)甲基]-4,5-二氢-1H-咪唑,(E)-2-丁烯二酸盐(1∶1)。 2-[(3,6-Dimethoxy-2,4-dimethylphenyl)methyl]-4,5-dihydro-1H-imidazole,(E)-2-butenedioate(1∶1). 2-(3,6-二甲氧-2,4-二甲苄基)-2-咪唑啉富马酸盐(1∶1)。 2-(3,6-Dimethoxy-2,4-dimethylbenzyl)-2-imidazoline fumarate(1∶1). 血管收缩药。 Domazoline Fumarate,Sch 13166,D Fumarate. INN,USAN.  |