网站首页  词典首页


请输入您要查询的字词:

 

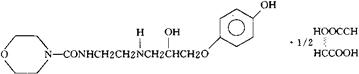
字词 富马酸扎莫特罗
类别 中英文字词句释义及详细解析
释义 富马酸扎莫特罗

C16H25N3O5·1/2C4H4O4=455

(±)-N-[2-[[2-羟-3-(4-羟苯氧)丙基]氨基]乙基]-4-吗啉甲酰胺(E)-2-富马酸盐(2∶1)。

(±)-N-[2-[[2-Hydroxy-3-(4-hydroxyphenoxy)-propyl]amino]ethyl]-4-morpholinecarboxamide(E)-2-fumarate.

心脏兴奋药。用于慢性心力衰竭,特别用于气喘及疲劳症状使其活动受到限制的心衰患者。

Xamoterol Fumarate,Corwin,Sepan.

随便看

 

离鸟网收录3541549条中英文词条,其功能与新华字典、现代汉语词典、牛津高阶英汉词典等各类中英文词典类似,基本涵盖了全部常用中英文字词句的读音、释义及用法,是语言学习和写作的有利工具。

 

Copyright © 2004-2024 vtrois.com All Rights Reserved
更新时间:2026/4/6 19:33:23