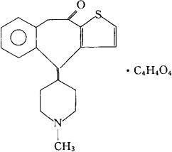
富马酸酮替芬
C19H19NOS·C4H4O4=425.50 CAS-34580-14-8 4,9-二氢-4-(1-甲基-4-哌啶亚基)-10H-苯并[4,5]环庚烷并[1,2-b]噻吩-10-酮富马酸盐(1∶1)。 4,9-Dihydro-4-(1-methyl-4-piperidylidene)-10Hbenzo[4,5]cyclohepta[1,2-b]thiophen-10-one fumarate(1∶1). 抗过敏药和抗组胺药。用于支气管哮喘、过敏性鼻炎和过敏性皮炎等。 Ketotifen Fumarate,Zaditen,HC 20,511 Fumarate. 富马酸酮替芬片,富马酸酮替芬胶囊。 INN & BAN(Ketotifen),USAN.  |