对偶单纯形法
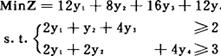
利用对偶问题的有关性质来求解线性规划模型的一种方法。 具体步骤如下: 第一步:模型标准化,填充初始单纯形表格。为了使用这种算法,必须是对偶问题可行,原问题不可行。 因此,填充的初始表中,必须是所有ZjCj≥0及存在有bi<0。 第二步:选择b1<0中,其绝对值最大的元素所在行为标准行,对应这个行的基变量就是出基变量,并作标记*。 第三步:对标准行i*中具有负元素的那些列,由下式计算比值:  选择最小列比值min{Φj}所在列为标准列,对应这个列的非基变量就是进基变量。 第四步:对确定好的进基变量和出基变量进行代换,按一般原始单纯形运算表中介绍的方法,进行迭代运算,得到新的单纯形表。 第五步:如果所有的bi≥0,停止迭代过程,写出最优解。否则,返回第二步。 例用对偶单纯形法求解  y1,y2,y3,y4≥0 约束条件标准化:   得到最优解:y1*=0, , ,y4*=0,Z*=14。 (此例中,从最终单纯表看到,非基变量Y1的检验数为零,故本例是一个多重最优解问题) |