网站首页  词典首页


请输入您要查询的字词:

 

字词 对数不等式的解法
类别 中英文字词句释义及详细解析
释义 对数不等式的解法

a>1时,logaf(x)>logag(x)f(x)>g(x)>0

0af(x)>logag(x)0

例1 若不等式|ax+2|<6的解集为(—1,2),则实数a等于( ).

A.8 B.2

C.—4 D.—8

分析 本题考查了简单的绝对值不等式的解法以及含参不等式的分类讨论思想.

解 由|ax+2|<6知—6

若解集为(—1,2),则a>0时,

须有无解.

a<0时须有,且知a=—4,故选C.

评析 本题也可采用代入检验法.

例2 解不等式:(1)2x3—x2—15x>0;

(2)(x+4)(x+5)2(2—x)3<0.

分析 可用标根法求解,但要处理好重根的情况.

解 (1)原不等式可化为x(2x+5)(x3)>0,

把方程x(2x+5)(x—3)=0的三个根x1=0,x2=—5/2,x3=3顺次标上数轴,

然后,从右上方向左下方开始画曲线顺次经过三个根,其解集如图的阴影部分.

∴原不等式解集为{x|—5/23}.

(2)原不等式等价于(x+4)(x+5)2(x—2)3>0

∴原不等式解集为{x|x<—5或—52}.

评析 用“标根法”解不等式时应注意:
❶ 各一次项中x的系数必为正❷ 对于偶次或奇次重根可参照(2)的解法转化为不含重根的不等式,也可直接用“标根法”,但注意“奇穿偶不穿”,其法如图.

例3 解下列不等式

(2)

分析 (1)将不等式同解变形为3f(x)<3g(x)的形状,再将其等价转化为f(x)

(2)利用换底公式将不等式转化为t=log5x的不等式求解.

解 (1)原不等式 —1

∴原不等式的解集为(—1,4)

(2)令t=log5x,则原不等式可化为1)

∴原不等式的解集为

解不等式

例4 分析

由于对数函数的增减性与底数a的取值范围有关,因此应分为01两种情形讨论该不等式的解集,其次,在去对数符号时要注意同解性,不等式变形时,还要注意同解性.

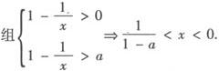
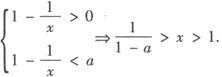
解 为了使不等式有解,必须a>0且a≠1.

(1)当a>1时,原不等式等价于不等式

(2)当0

综上所述,当a>1时,不等式的解集为;当0.

随便看

 

离鸟网收录3541549条中英文词条,其功能与新华字典、现代汉语词典、牛津高阶英汉词典等各类中英文词典类似,基本涵盖了全部常用中英文字词句的读音、释义及用法,是语言学习和写作的有利工具。

 

Copyright © 2004-2024 vtrois.com All Rights Reserved
更新时间:2026/4/8 11:32:03