网站首页  词典首页


请输入您要查询的字词:

 

字词 对称问题
类别 中英文字词句释义及详细解析
释义 对称问题

1.点关于直线对称问题

(1)点(a,b)关于点(x,y)的对称点坐标为(2x—a,2y—b).

(2)点(a,b)关于x轴,y轴,原点,直线y=x,直线y=—x的对称点分别为(a,—b),(—a,b),(—a,—b),(b,a)和(—b,—a).

(3)点A(x,y)关于直线x+y+c=0的对称点A′的坐标为(—y—c,—x—c).

(4)点A(x,y)关于直线x—y+c=0的对称点A′的坐标为(y—c,x+c).

(5)曲线f(x,y)=0关于直线x+y+c=0的对称曲线为f(—y—c,—x—c)=0.

(6)曲线f(x,y)=0关于直线x—y+c=0的对称曲线为f(y—c,x+c)=0.

2.若P,Q两点关于直线l成轴对称,则PQ的中点在直线l上且

kpO·k=—1(若PQ斜率存在)

3.曲线C∶f(x,y)=0与曲线∶g(x,y)=0关于点P(a,b)对称,则曲线C′上任一点M′(x,y),关于P的对称点M(2a—x,2b—y)在曲线C上,即

g(x,y)=f(2a—x,2b—y).

4.曲线C:f(x,y)=0关于直线y=kx+b的对称曲线C′,则C′上任一点P关于直线y=kx+b对称的点必在曲线C上,即曲线关于直线的对称问题转化为点关于直线的对称问题.

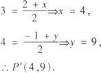
例1 求点P(2,—1)关于点(3,4)的对称点坐标.

分析 利用中点坐标公式.

解 设对称点P′(x,y),

点评 将点关于点对称问题转化为线段中点问题

例2 求点A(2,2)关于直线l∶2x—4y+9=0的对称点的坐标.

分析 两点A、B关于直线l对称,即为AB⊥l,垂足M为线段AB中点.

解 设对称点B(a,b)

∵直线l的斜率存在且不为0,

∴直线AB的斜率存在,

将❶ ❷ 联立解得:a=1,b=4,

∴对称点B(1,4).

例3 已知直线l∶3x—y+3=0.

求:(Ⅰ)直线l关于点P(4,5)的对称线;

(Ⅱ)直线x—y—2=0关于直线l的对称直线方程.

解 (Ⅰ)在直线l∶3x—y+3=0上取两点:

A(—1,0),B(0,3),

则A、B两点关于点P(4,5)的对称点为A′(9,10),B′(8,7).

由两点式过A′,B′的直线为

即 3x—y—17=0.

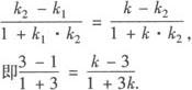
(Ⅱ)联立两直线方程得

又∵直线x—y—2=0的斜率k1=1,

直线l的斜率k2=3.

设所求对称直线斜率为k,

由到角公式有:

解得k=—7由点斜式所求对称直线的方程为y+9/2=—7(x+5/2),

即7x+y+22=0.

随便看

 

离鸟网收录3541549条中英文词条,其功能与新华字典、现代汉语词典、牛津高阶英汉词典等各类中英文词典类似,基本涵盖了全部常用中英文字词句的读音、释义及用法,是语言学习和写作的有利工具。

 

Copyright © 2004-2024 vtrois.com All Rights Reserved
更新时间:2026/5/31 19:47:45