对苯二酸羟考酮
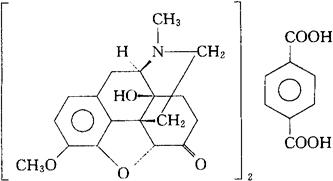
(C18H21NO4)2·C8H6O4=796.87 CAS-64336-55-6 (5α)-4,5-环氧-14-羟-3-甲氧-17-甲基-吗啡喃-6-酮- 1,4-苯二羧酸盐(2∶1)。 (5α)-4,5-Epoxy-14-hydroxy-3-methoxy-17-methylmorphinan-6-one,1,4-benzenedicarboxylate(2∶1salt). 4,5α-环氧-14-羟3-甲氧基-17-甲基吗啡南-6-酮1,4-苯二羧酸盐(2∶1)。 4,5α-Epoxy-14-hydroxy-3-methoxy-17-methylmorphinan-6-one 1,4-benzenedicarboxylate(2∶1)(salt). 局部麻醉药(麻醉性镇痛药)。 对苯二酸羟可待酮。 Oxycodone Terephthalate. USAN,USP.  |