导数的几何意义
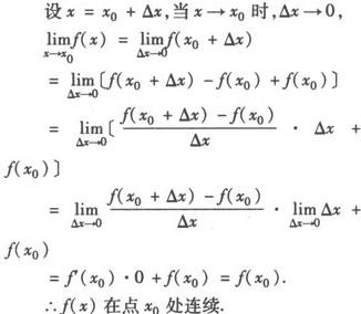
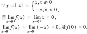
曲线y=f(x)上任一点(x,y)的切线的斜率是f(x)在x处的导数,即 ,也就是说,曲线y=f(x)在点P(x0,f(x0))处的切线的斜率是f′(x0),相应地,切线方程为 y—y0=f(x0)(x—x0). 例1 利用导数的定义,求下列函数的导数.   例2 证明 若函数f(x)在点x0处可导,则f(x)在点x0连续. 证明 要证f(x)在点x0处连续,即证 于是只要证: f(x0)〕=0,而利用函数f(x)在点x0处可导可以证明这一点.  其逆命题:“若函数f(x)在点x0处连续,则它在点x0处可导”是否成立呢?回答是否定的,如函数y=|x|在点x=0处连续,但在点x=0处不可导,请读者自己给出证明. 例3 求证y=|x|在点x=0处连续,但在点x=0处不可导. 证明 只需证 不存在即可证明在x=0处不可导.  ∴f(x)=|x|在点x=0连续.△y=f(0+△x)—f(0)=|△x|,  |