网站首页  词典首页


请输入您要查询的字词:

 

字词 将活性碱转换成总碱的计算
类别 中英文字词句释义及详细解析
释义 将活性碱转换成总碱的计算

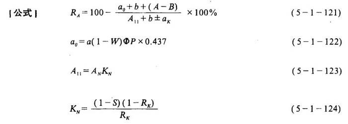
1.方法一

式中 a0——补充芒硝的产碱量(kg)

a——芒硝补充量(kg)

W——芒硝水分(%)

Φ——芒硝的纯度(%)

P——芒硝还原率(%)

0.437——由芒硝转换为氧化钠的系数

b——补充外来碱(kg)

A——统计开始时系统结存碱量(kg)

B——统计结束时系统结存碱量(kg)

A11——回收碱量(kg)

AN——回收活性碱量(kg)

KN——转换系数

S——硫化度(%)

PK——苛化度(%)

aK——白液结存碱量(kg)

[讨论]该法将活性碱换算为总碱,解决了上一种方法存在的问题,而且考虑到补充芒硝的水分和纯度的波动因素,所以计算结果比较准确。另外须说明几点:
❶ 该式各种碱量均以总碱计;
❷ 分子中系统结存量均以总碱计,但黑液总碱按原有固定数计(假定全碱),此项中不包括白液结存量;
❸ 分母中白液结存量作为碱回收成品,直接与用碱量有关,不影响分子中系统耗碱量。

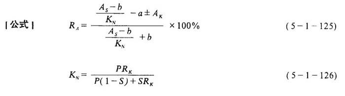
2.方法二

式中 As——蒸煮装锅用的活性碱量(kg)(以Na2O计)

AK——系统碱量结存差额(kg)

b——补加活性碱(kg),仅以补加较纯的烧碱为主,否则不能近似地等于补加总碱

其它同上

[例]某厂蒸煮用去活性碱共600t(10天)(以Na2O计),补加活性碱30t(Na2O计),加芒硝68t(Na2O计),盘点库存亏4t(Na2O计)。10天中平均硫化度为25%,苛化率为88%.芒硝还原率为88%,10天测得各部分的碱损失如下:蒸煮、提取27.1t(Na2O计)、蒸发13.0t(Na2O计)、燃烧38.3t(Na2O计)、苛化24.0t(Na2O计),共计102.4t(Na2O计)。计算该厂的碱回收率是多少?

随便看

 

离鸟网收录3541549条中英文词条,其功能与新华字典、现代汉语词典、牛津高阶英汉词典等各类中英文词典类似,基本涵盖了全部常用中英文字词句的读音、释义及用法,是语言学习和写作的有利工具。

 

Copyright © 2004-2024 vtrois.com All Rights Reserved
更新时间:2026/4/7 14:16:03