小果千金榆
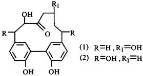
【名称出处】:《浙江天目山药用植物志》 【概况】: 基源 为桦木科鹅耳枥属植物华千金榆的根皮。 鹅耳枥属全世界约40种,中国约25种。 原植物 华千金榆Carpinus cordata Bl.var.chinensis Franch, 形态 落叶乔木,高可达15m。树皮灰褐色,有鳞片状浅裂;小枝赤褐色,有光泽,具黄色圆形的皮孔。叶互生,椭圆形或卵状椭圆形,长6~12cm,宽4~6cm,基部浅心形,顶端渐尖,边缘具尖细锯齿,上面绿色,疏生短柔毛,老时光滑,下面淡绿色,侧脉17~24对;叶柄长1.2~2cm;枝、叶柄、叶背、叶脉及果柄均密生短柔毛。 花单性,黄绿色;雄柔荑花序腋生,下垂,花密生,无花被,苞片卵形,基部著生雄蕊10枚;雌柔荑花序顶生,每苞内有雌花2朵,左右各有3小苞合成的副苞,结果时即成果苞;雌花具萼,与子房附著,子房下位,苞叶边缘及小苞背面有细毛。小坚果椭圆形,压扁状,由密叠的果苞所覆盖。 (图见《中国植物志》.第21卷.66页.图版154) 生境与分布 生于背阳山谷较湿润肥沃的针阔叶混交林或杂木林中。分布于华东及湖北、四川。 。【生药】: 采集 秋季采挖,剥取根皮,除去杂质,晒干或鲜用。 贮藏 晒干用者置干燥处。 【化学】: 含多种联苯大环酮类化合物,如千金榆甲素(1)和乙素(2)等[1,2]。  参考文献 [1] CA 1988;109:51715p [2] CA 1989;111:54172m 【药性】: 性味 淡,平。 功效 清热解毒,通淋。 主治 跌打损伤,痈肿,淋病,劳倦疲乏。 用法用量 内服:煎汤,15~30g。外用:捣敷。 。【临床应用】: 单方应用 ❶ 《浙江天目山药用植物志》:“治劳伤酸软:小果千金榆根、紫青藤各21~24g。水煎服。” ❷ 江西《草药手册》:“治跌打损伤:小果千金榆根皮,加酒糟捣敷。” ❸ 江西《草药手册》:“治痈肿:小果千金榆根白皮,加酒糟捣烂敷。” ❹ 江西《草药手册》:“治赤白淋症:鲜小果千金榆根白皮30~60g。米酒煎服。” |