小雪人参
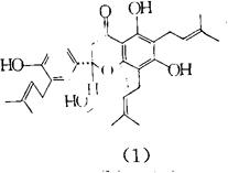
【概况】: 异名 白土子(《贵州民间药物》),绒毛胡枝子(《东北药用植物》)。 基源 为豆科胡枝子属植物山豆花的根。胡枝子属全世界约90种,中国有60余种。 原植物 山豆花Lespedeza tomentosa(Thunb.)Sieb.(Hedysarum tomentosa Thunb.),又名白胡枝子(贵州)。 历史 本品始见于《植物名实图考》,谓:“山豆花生云南。蔓生,大叶长穗,花似紫藤花。”以上记述,似为本种。 形态 草本状半灌木,高60~100cm,植株被黄褐色或白色绒毛。3出复叶互生,顶生小叶长圆形或卵状长圆形,长3~6cm,宽1.5~2.5cm,先端圆形,有短尖,基部钝,上面疏被、下面密被白色柔毛;侧生小叶小;托叶条形,被毛。 总状花序腋生,花密集,花梗无关节;花无瓣、腋生,头状;小苞片披针形;花萼杯状,萼齿5,披针形,先端急尖,密被柔毛;花冠淡黄色,旗瓣长约1cm翼瓣较短,龙骨瓣与翼瓣近等长;子房被绢毛。荚果小,倒卵状椭圆形,长0.3~0.4cm,宽0.2~0.3cm,密被白色短柔毛。花期7~9月,果期9~10月。(图见《中国高等植物图鉴》.第2册.460页.图2652) 生境与分布 生于山坡、沟塘、河谷或林缘灌丛中。 分布于中国东北、华北、西南及陕西、山东、福建、湖南。朝鲜、日本、尼泊尔、不丹、锡金、原苏联也有分布。 。【生药】: 采集 秋季采收,除去茎叶、根须及泥沙,晒干。 贮藏 置干燥处,防蛀。 【化学】: 含黄酮类槲皮素及其甙[1]、三叶豆甙(Trifolin)[2]。根皮含芹素(Apigenin)、胡枝子戊素(Lespedezafla vanone E)(1)、桂皮酸(Cinnamic acid)、2,4-二羟基桂皮酸(2,4-Dihydroxy-cinnamic acid)、苯甲酸、α-香树脂素(α-Amyrin)、β-香树脂素[3]。  参考文献 [1]CA 1971;75∶40305h [2]CA1966;65∶20509b [3]李景荣博士论文,中国药科大学1990 【药性】: 性味 甘,平。 功效 健脾补虚。 主治 虚劳,虚肿。 用法用量 内服:煎汤,30g;或炖肉。 |