网站首页  词典首页


请输入您要查询的字词:

 

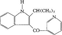
字词 尼克吲哚
类别 中英文字词句释义及详细解析
释义 尼克吲哚

C17H16N2O=264.33

CAS-36504-64-0

2-异丙基吲哚-3-基3-吡啶基酮。

2-Isopropylindol-3-yl 3-pyridyl ketone.

[2-(1-甲基乙基)-1H-吲哚-3-基]-3-吡啶基甲酮。

[2-(1-Methylethyl)-1H-indol-3-yl]-3-pyridinylmethanone.

消炎药。

烟丙吲哚。

Nictindole,L-8027.

INN,USAN.

随便看

 

离鸟网收录3541549条中英文词条,其功能与新华字典、现代汉语词典、牛津高阶英汉词典等各类中英文词典类似,基本涵盖了全部常用中英文字词句的读音、释义及用法,是语言学习和写作的有利工具。

 

Copyright © 2004-2024 vtrois.com All Rights Reserved
更新时间:2026/5/25 8:39:03