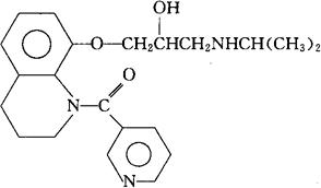
尼卡普酮
C21H27N3O3=369.46 CAS-76252-06-7 (±)-1,2,3,4-四氢-8-[2-羟-3-(异丙氨基)丙氧]-1-烟酰喹啉。 (±)-1,2,3,4-Tetrahydro-8-[2-hydroxy-3-(isopropylamino)propoxy]-1-nicotinoylquinoline. 1,2,3,4-四氢-8-[2-羟-3-(1-甲基乙基)氨基)丙氧]-1-(3-吡啶基羰基)喹啉。 1,2,3,4-Tetrahydro-8-[2-hydroxy-3-(1-methylethyl)amino]propoxy,-1-(3-pridinylcarbonyl)qunoline. 抗心律失常药,抗高血压药。 尼卡洛卜罗。 Nicainoprol,CAS 924,RU 42924.  |