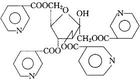
尼可呋糖
C30H24N4O10=600.54 CAS-15351-13-0 D-呋喃果糖1,3,4,6-四烟酸酯。 D-Fructofuranose 1,3,4,6-tetranicotinate. β-D-呋喃果糖1,3,4,6-四-3-吡啶羧酸酯。 β-D-Fructofuranose 1,3,4,6-tetra-3-pyridinecarboxylate. 扩张血管药。 烟呋糖酯。 Nicofuranose,ES 304,Bradilan,Buclidan,Vasperdil. INN,BAN,DCF,USAN,MI. 
|