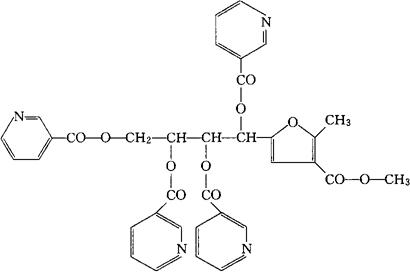
尼可呋酯
C35H28N4O11=680.63 CAS-4397-91-5 2-甲基-5-(D-阿拉伯糖-1,2,3,4-四羟丁基)-3-糠酸甲酯,四烟酸酯。 2-Methyl-5-(D-arabino-1,2,3,4-tetrahydroxybutyl)-3-furoic acid methyl ester,tetranicotinate. 甲基-2-甲基-5-(D-阿拉伯糖-1,2,3,4-四羟丁基)-3-糠酸四烟酸酯。 Methyl-2-methyl-5-(D-arabino-1,2,3,4-tetrahydroxybutyl)-3-furoate tetranicotinate. 扩张血管药,降血脂药。 尼古呋那德。 Nicofurate,GN-3,Arteriolase,Tetnicoran. INN,USAN.  |