网站首页  词典首页


请输入您要查询的字词:

 

字词 尼哌拉唑
类别 中英文字词句释义及详细解析
释义 尼哌拉唑

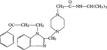
C26H33N5O2=447.58

CAS-60662-19-3

4-[[1-(2-苯甲酰乙基)-2-苯并咪唑基]甲基]-N-异丙基-1-哌嗪乙酰胺。

4-[[1-(2-Benzoylethyl)-2-benzimidazoyl]methyl]-N-isopropyl-1-piperazineacetamide.

N-(1-甲基乙基)-4-[[1-(3-氧代-苯丙基)-1H-苯并唑唑-2-基]甲基]-1-哌嗪乙酰胺。

N-(1-Methylethyl)-4-[[1-(3-oxo-3-phenyl propyl)-1H-benzimidazol-2-yl]methyl]-1-piperazineacetamide.

抗溃疡病药。

Nilprazole,MD 73442.

INN,BAN,USAN.

随便看

 

离鸟网收录3541549条中英文词条,其功能与新华字典、现代汉语词典、牛津高阶英汉词典等各类中英文词典类似,基本涵盖了全部常用中英文字词句的读音、释义及用法,是语言学习和写作的有利工具。

 

Copyright © 2004-2024 vtrois.com All Rights Reserved
更新时间:2026/4/7 0:05:40