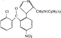
尼唑苯酮
C21H21ClN4O3=412.87 CAS-54533-85-6 2′-氯-2-[2-[(二乙氨基)甲基]咪唑]-1-基]-5-硝基二苯酮。 2′-Chloro-2-[2-[(diethylamino)methyl]imidazol-1-yl[-5-nitrobenzophenone. (2-氯苯基)[2-[2-[(二乙氨基)甲基]-1H-咪唑-1-基]-5-硝苯基]甲基酮。 (2-Chlorophenyl)[2-[2-[(diethylamino)methyl]-1H-imidazol-1-yl]-5-nitrophenyl]methanone. 益智药。 硝唑芬酮。 Nizofenone,Midafenone. INN,USAN,MI.  |