网站首页  词典首页


请输入您要查询的字词:

 

字词 尼西维林
类别 中英文字词句释义及详细解析
释义 尼西维林

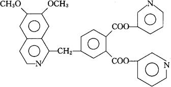
C30H23N3O6=521.53

CAS-2545-24-6

4-[(6,7-二甲氧-1-异喹啉基)甲基]焦儿茶酚二烟酸酯。

4-[(6,7-Dimethoxy-1-isoquinolyl)methyl]pyrocatecho dinicotinate.

双烟碱基二甲基甲基罂粟灵。

Bisnicotinyldimethylmethylpapaveroline.

解痉药,抗高血压药。

双烟罂粟碱。

Niceverine,RC 167.

INN,DCF,USAN.

随便看

 

离鸟网收录3541549条中英文词条,其功能与新华字典、现代汉语词典、牛津高阶英汉词典等各类中英文词典类似,基本涵盖了全部常用中英文字词句的读音、释义及用法,是语言学习和写作的有利工具。

 

Copyright © 2004-2024 vtrois.com All Rights Reserved
更新时间:2026/5/25 16:29:43